Некоторые методические приемы построения трехмерной литологической модели неоднородных пластов на примере Пермяковского месторождения

 

Грищенко М.А.Светлов К.В. (ООО ТННЦ)

Цель фациального моделирования при создании трехмерных (3D) геологических моделей — воссоздание реального распределения в терригенной толще геологических тел — пород коллекторов флюидов и практически непроницаемых разностей пород. Кубическая литологическая модель месторождения должна отображать геологически достоверный результат, при этом: а) соблюдать пропорции содержания каждой фации в разрезах скважин; б) корректно отображать распространение фаций в межскважинном пространстве; в) сохранять латеральные и вертикальные тенденции распро-странения фаций; г) быть сопоставимой с двумерной (2D) моделью, использованной при подсчете запасов.

В настоящее время применяются различные способы построения геологических моделей терригенной толщи. Алгоритмы, разработанные для расчета 3D моделей, условно подразделяются на стохастические (вероятностные) и детерминированные (интерполяционные). Несмотря на разнообразие расчетных методов, существуют задачи, требующие нестандартных решений. При построении литологической модели такой задачей является отображение распространения коллектора неоднородных пластов. Часто карты эффективных и эффективных нефтенасыщенных толщин, построенные на базе 3D модели литологии, существенно отличаются от карт 2D модели, следовательно, распространение коллекторов по площади различается. Результатом этого является различие объемов нефтегазонасыщенных пород в 2D и 3D моделях. Аналогичная ситуация создается при сопоставлении 2D профиля месторождения и разреза 3D литологической модели. Понятно, что это несовпадение обусловлено различием методики построения плоской и кубической модели, но все же существуют приемы, позволяющие достигнуть существенного подобия таких карт и профилей и свести к минимуму различие объемов запасов.

Рассмотрим вариант решения поставленной задачи на примере Пермяковского месторождения, расположенного в пределах Александровского района Васюганской нефтегазоносной области. Продук-тивным на месторождении является горизонт ЮВ1, приуроченный к отложениям наунакской свиты, который, в свою очередь, подразделяется на пласты Ю11, Ю12 и Ю13. Пласт Ю12 характеризуется большей толщиной и распространен в песчаной фации по всей площади месторождения. Два других пласта, особенно Ю11, маломощны и на некоторых участках полностью заглинизированы (их коллектор выклинивается), что создает трудности при трехмерном моделировании. Все три пласта составляют один объект эксплуатации. Большая часть месторождения разбурена сеткой эксплуатационных скважин. На рис.1-3 вынесены только разведочные скважины, поэтому при их рассмотрении следует иметь в виду, что охарак-теризованность площади залежей бурением весьма детальная, слабо изучены только отдельные периферийные участки и законтурная зона пласта.

 

Рис.1. Карты эффективных толщин пласта Ю11: а) из 3D модели, рассчитанной методом Indicator Kriging, б) из 3D модели, рассчитанной методом Sequential Indicator Simulation, в) из 3D модели после осреднения двух методов, г) из 2D модели
Рис.1. Карты эффективных толщин пласта Ю11: а) из 3D модели, рассчитанной методом Indicator Kriging, б) из 3D модели, рассчитанной методом Sequential Indicator Simulation, в) из 3D модели после осреднения двух методов, г) из 2D модели
 
Рис.2. Карты эффективных толщин пласта Ю12: а) из 3D модели, рассчитанной методом Indicator Kriging, б) из 3D модели, рассчитанной методом Sequential Indicator Simulation, в) из 3D модели после осреднения двух методов, г) из 2D модели
Рис.2. Карты эффективных толщин пласта Ю12: а) из 3D модели, рассчитанной методом Indicator Kriging, б) из 3D модели, рассчитанной методом Sequential Indicator Simulation, в) из 3D модели после осреднения двух методов, г) из 2D модели
 
Рис.3. Профиль месторождения: а) из 3D модели, рассчитанной методом Indicator Kriging, б) из 3D модели, рассчитанной методом Sequential Indicator Simulation, в) из 3D модели после осреднения двух методов, г) из 2D модели
Рис.3. Профиль месторождения: а) из 3D модели, рассчитанной методом Indicator Kriging, б) из 3D модели, рассчитанной методом Sequential Indicator Simulation, в) из 3D модели после осреднения двух методов, г) из 2D модели
 

При построении 3D литологической модели рассматривались две разности пород: коллектор и неколлектор. Моделирование осуществлялось с использованием программного комплекса PETREL, разработанного компанией Schumberger. Было выполнено несколько вариантов расчетов. Из детерминистских методов применялся алгоритм Indicator Kriging. Этот метод позволяет проследить коррелируемые по площади прослои, но исключает возможность применения какого-либо тренда. Из стохастических методов был использован алгоритм Sequential Indicator Simulation, который допускает возможность широкого применения трендов, но осложняет распространение пропластков в зонах, мало изученных бурением.

На основе проведенных расчетов были построены карты суммарных эффективных толщин по продуктивным пластам (для наглядности приводятся материалы по пластам Ю11, Ю12) и разрезы 3D модели. Результаты построений по первому из указанных алгоритмов приведены на рис. 1а, 2а, 3а, а по второму — 1б, 2б, 3б. Как видно на рисунках, карты заметно различаются, но оба варианта имеют свои недостатки.

При расчетах методом Indicator Kriging прослои коллектора прерываются на середине между скважиной, где конкретный прослой представлен коллектором, и скважиной, где он заглинизирован. В результате в зонах, охарактеризованных только редкими разведочными скважинами, возникают резкие перепады толщины. На картах они заметны по сгущению изолиний (особенно в районе скв. 123р, рис.1а). Также резко, без плавного уменьшения толщины прослои коллектора рвутся на разрезе (на рис. 3а это мало заметно, так как разрез проведен по участку, разбуренному сравнительно густой эксплуатационной сеткой скважин). В природе согласно залегающие пласты характеризуются постепенным выклиниванием тел коллектора, что отражается на двумерной модели пластов (рис.1г, 2г).

Вероятностные расчеты методом Sequential Indicator Simulation проводились с использованием тренда, в качестве которого использовалась двумерная карта песчанистости пласта. Это обеспечило плавные изменения эффективной толщины, но за пределами разбуренной зоны прослои коллектора распространились прерывисто в соответствии со стохастическими принципами. В результате на карте в не разбуренных участках пластов возникла заметная дифференциация толщины. Прерывистое распространение прослоев коллектора на площади, не изученной бурением, вероятно, несколько искажает представление о гидродинамической связи пласта.

Анализ выполненных построений показывает, что каждый метод расчета модели имеет позитивные и негативные стороны. Для обеспечения построения оптимальной литологической модели используются различные методические приемы. Нередко успешное построение модели достигается с использованием параметра сп. В других случаях проводится несколько расчетов с применением одного алгоритма, но при изменении расчетного радиуса модели (range). Результирующая модель получается после определения среднеарифметического значения нескольких 3D гридов, построенных таким образом. Выбор применяемых методов определяется индивидуальными особенностями месторождений и целью построения литологической модели.

При подсчете запасов Пермяковского месторождения особенности строения продуктивных пластов и методика интерпретации материалов ГИС затруднили применение описанных приемов. Для построения корректной 3D литологической модели была предпринята попытка комплексного использования двух вышеназванных методов моделирования — детерминистского и стохастического. В расчетных моделях разностям коллектора было присвоено значение 1, а непроницаемым породам — 0. Разными методами были рассчитаны два варианта модели литологии, затем было определено их среднеарифметическое значение. Результирующий куб был еще раз осреднен с исходной моделью, рассчитанной методом Sequential Indicator Simulation. После этого в модели появились промежуточные значения между 0 и 1. Затем с помощью имеющегося в программном комплексе калькулятора литологическая модель была вновь пересчитана в дискретную со значениями только 0 и 1. При пересчете граничным было принято значение, равное 0.5.

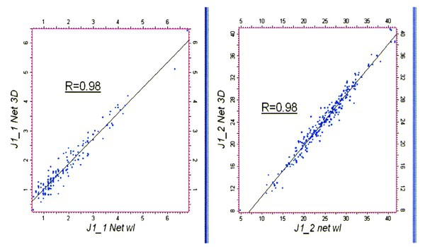
Полученная модель сохранила черты стохастической, в отношении плавности изменения по площади, суммарной толщины коллектора и в некоторой степени приобрела черты детерминистской в отношении распространения прослоев коллектора в не охарактеризованной скважинами зоне. Для проверки корректности построенная модель была сопоставлена с данными скважин (рис.4). Коэффициент корреляции составил 0.98. Кроме того, объем коллектора в пределах залежи по этой модели сопоставлялся с аналогичным объемом двумерной модели, служившей основой для подсчета запасов месторождения. При этом по пласту Ю11 разница объемов составила всего 0.3%, а по пласту Ю12 - 4%. Эти данные свидетельствуют о корректности выполненных построений.

 

Рис.4. Сопоставление результатов моделирования со скважинными данными по пластам Ю11, Ю12 (по оси Х — значения эффективной толщины по данным ГИС, по оси Y — значения эффективной толщины по данным 3D)
Рис.4. Сопоставление результатов моделирования со скважинными данными по пластам Ю11, Ю12 (по оси Х — значения эффективной толщины по данным ГИС, по оси Y — значения эффективной толщины по данным 3D)
 

Следует отметить, что второе осреднение не обязательно проводить с начальной моделью, рассчитанной по стохастической методике. Если модель, построенная детерминистским методом, лучше совпадает с двумерной моделью, для второго осреднения ее можно использовать.

ЛИТЕРАТУРА

  1. Афанасьев С.В., Батрак А.Н. Методика восстановления литологии пород по данным геофизических исследований скважин при создании трехмерной геологической модели в терригенном разрезе // Нефтяное хозяйство. — 2005. — №4. — С.17-19.
  2. Рыбников А.В., Саркисов Г.Г. Стохастические геологические модели — методы, технологии, возможности // Нефтяное хозяйство. — 2001. — №6. — С.22-25.